Contoh Surat Penyerahan Tanah Kepada Anak
Contoh Surat Penyerahan Tanah Sabah By utamagandewa93 April 15 2022 Post a Comment Kumpulan contoh surat kuasa pengambilan sertifikat tanah. Memasrahkan semua kebutuhan dan tanggung jawab anak perihal kesejahteraan anak kepada LKSA Miftahul Ulum Banyuputih Kidul Jatiroto Lumajang.
16 Contoh Surat Hibah Tanah Untuk Masjid Jalan Anak Contoh Surat
08032022 untuk pengetahuan anda jika anda memiliki tanah sendiri anda dikehendaki membuat pembayaran cukai tanah.

. Dan untuk berbagai keperluan orang tua pun harus berperan terkait dengan anak. Contoh Surat Pernyataan No. Yang bertanda tangan di bawah ini kami pasangan suami istri.
Jika iya berikut ini adalah contoh surat jual beli tanah yang bisa anda download. Pengertian Dan Contoh Surat Hibah. Demikian Berita Acara ini dibuat dengan sebenarnya untuk dapat dipergunakan sebagaimana mestinya.
Macam-Macam Contoh Surat Hibah Tanah. Contoh surat ahli waris by budi hikmawan 18107 views. 13 contoh surat hibah tanah rumah barang bangunan.
Syarif SE Jabatan. Contoh Surat Hibah Tanah Beberapa Orang. Contoh surat kesepatakan bersama dalam hak asuh anak.
Masuk untuk melihat email Anda. Surat rayuan permohonan tanah kerajaan viral blog o. Hibah dapat diartikan sebagai penyerahan barang-barang berharga baik berupa tanah rumah maupun benda berharga lain seperti emas untuk digunakan secara bebas oleh penerimanya dan tidak dapat ditarik kembali.
PEMERNINTAH KABUPATEN INDRAGIRI HILIR KECAMATAN GAUNG ANAK SERKA DESA KUALA GAUNG SURAT KETERANGAN PENYERAHAN TANAH PEMERINTAH DESA KUALA GAUNG KECAMATAN GAUNG ANAK SERKA NOMOR. Untuk pendaftaran tanah hibah maksimal dilakukan 7 hari setelah akad hibah tanah dilaksanakan. Contoh surat penyerahan rumah kepada anak picture submitted ang published by admin that preserved in our collection.
Bandung 17 Agustus 1973 Alamat. Contoh Surat Pernyataan Orang Tua Setiap anak tentu akan menjadi tanggung jawab orang tua. Agak berantakan yha format surat nya yha hal itu karena keterbatasan html dalam mengolah kata.
SURAT PERJANJIAN PERNYATAAN PENYERAHAN ANAK Yang bertanda tangan dibawah ini kami pasangan suami istri dengan hal ini disebut sebagai PIHAK I PERTAMA 1. Surat pernyataan penyerahan orang tua ke wali. Soeharto TempatTanggal Lahir.
Sebagai bukti seorang ahli waris yang memang sah maka perlu dibuktikan dengan adanya surat pernyataan ahli waris atau di sebut juga dengan surat keterangan ahli waris. Contoh Surat Ahli Waris from image. Dengan ini menyatakan bahwa pihak yang bertanda tangan.
01KG5932014 Pada hari ini senin tanggal 27 Januari 2014 kami yang bertanda tangan dibawah ini. Surat Pernyataan Penyerahan Orang Tua Ke Wali. SURAT PERNYATAAN PENYERAHAN ANAK Yang bertanda tangan di bawah ini kami.
Pegawai Negeri Sipil No KTP. CONTOH SURAT PERNYATAAN PENYERAHAN ANAK. Contoh surat jual beli tanah sederhana bisa Anda temukan di sini serta poin penting yang wajib ada di surat jual beli tanah sederhana dan tips membuat surat jual beli tanah sederhana.
Tanah Rumah Barang Uang dan Lainnya. Diterima sepenuhnya oleh pihak pertama dan surat penyerahan ini juga berlaku sebagai. Surat hibah dari pemberi hibah akan memberikan kejelasan terhadap pembagian atau pemberian harta kepada penerima hibah.
Contoh Surat Hibah Mendengar kata hibah tentu bukan sesuatu hal yang baru lagi untuk kita semua. Contoh Surat Hibah Tanah. Jakarta 08 Januari 1990 Agama.
Ada banyak orang yang menghibahkan harta benda mereka kepada pihak lain ataupun untuk dipergunakan umum. Bertanggung Jawab Atas Perubahan Nama Semua Harta Waris. Contoh surat hibah dari orang tua kepada anak.
Proses hibah tanah tak bisa hanya dilakukan secara verbal. Contoh surat hibah memiliki banyak kekayaan entah itu berupa tanah perhiasan rumah mobil atau yang lainnya memang sedikit membuat kita merasa was was. Misalnya saja dalam melamar pekerjaan sekolah kuliah dan lain sebagainya.
Namun agar memiliki bukti kuat maka penyerahan hibah itu. Dalam hal pemberian izin juga sang anak seringkali membutuhkan izin tertulis dari orang tua. 06 RW5 Kota Bandung Jawa Barat.
Pengakuan Sah Jika Benar Anda Merupakan Seorang Ahli Waris. Mojokerto23 Juli 1955 NIK. 20 Contoh Surat Keterangan Kerja.
Contoh Surat Hibah Tanah pada Keluarga. Contoh surat kuasa tanah dari orang tua ke anak. Surat rasmi permohonan lot tanah rasmi x cute766.
7 Contoh Surat Pernyataan Dalam Berbagai Kasus Gratis Doc File. Namun selain memerlukan notaris untuk penerbitan aktanya proses hibah juga memerlukan surat pernyataan yang di buat sendiri oleh para pihak dengan di bubuhkan materai cukup dan di tandatangani oleh semua pihak yang. Viral anak kecil main tiktok nazwa.
Seperti yang telah dijelaskan sebelumnya penggunaan surat tertulis untuk penyerahan atau hibah tanah kepada pihak lain merupakan hal yang sangat penting dan memiliki kekuatan hukum. Berikut adalah beberapa. 214 Cibinong Bogor Pekerjaan.
21 Contoh Surat Kuasa Lengkap Berbagai Keperluan Yang Baik Dan Benar. Contoh Surat Serah Kuasa Tanah. Berikut simak contoh surat hibah tanah kepada anak kandung beserta penjelasannya.
Berikut ini contoh surat pernyataan kesepakatan penyerahan harta kepada anak akibat terjadinya perceraian harta tersebut dikuasakan kepada salah satu pihak untuk dikelola dan diserahkan sepenuhnya kepada anak ketika anak-anak penerima harta sudah menginjak usia dewasa. Surat penyerahan tanah kepada anak. Agus Irawan Tempat tanggal lahir.
Contoh Surat Pernyataan Hak Asuh Anak Ciupa Biksemad. Surat hibah rumah dari orang tua untuk anak angkat. 16 Contoh Surat Kuasa Tanah Untuk Jual Beli dan Lainnya 30 contoh surat kuasa tanah terbaru 2019 jagoundangan.
Contoh Surat Pernyataan Tanah Hibah Tanah Tanah Wakaf Tanah. Contoh surat hibah tanah dan rumah dapat anda lihat disini. SURAT PERNYATAAN PENYERAHAN ANAK.
Contoh Surat Hibah Kepada Anak Kandung. Contoh Surat Rasmi Kepada Bank Contoh Ii. Contoh surat hibah tanah kepada anak kandung.
Dengan ini memberi kuasa kepada. 16 Contoh Surat Hibah.
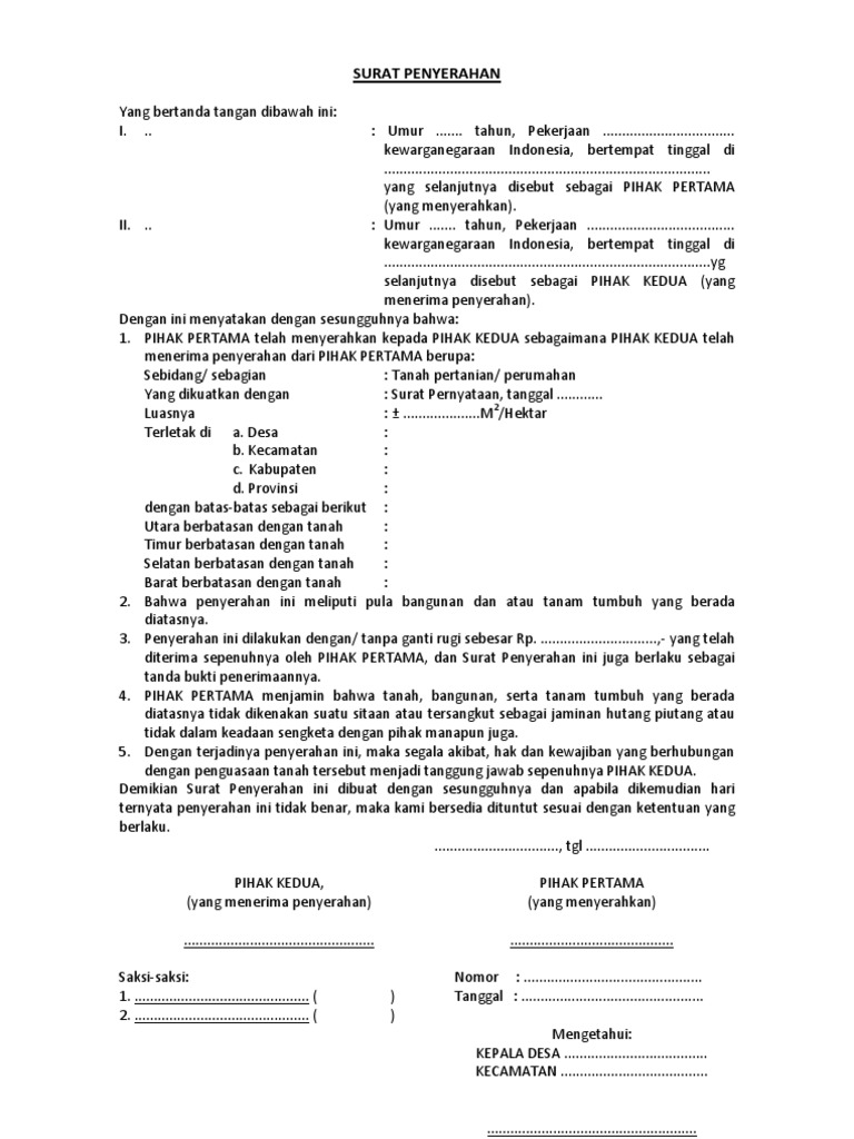
Surat Pernyataan Penyerahan Pdf
Contoh Surat Hibah Tanah Dari Orang Tua Kepada Anak Otosection
No comments for "Contoh Surat Penyerahan Tanah Kepada Anak"
Post a Comment